こんにちは!
半年で自走させる塾こと、マル塾です。
「データの分析」は、数学の中でも
つい後回しにされがちで、対策不足のまま入試当日を迎えてしまう受験生が多い単元です。
公式が多く、「とりあえず暗記しよう」となりやすい一方で、実は考え方さえ理解できれば安定して得点できる“おいしい単元”でもあります。
そのカギが
👉 変量の変換。
変量の変換とは、xをはじめとする変量に他の値を足したりかけたりと変化させることです。
この記事では、
- データの分析で必須となる代表値の確認
- 分散・標準偏差・共分散・相関係数の意味
- 入試頻出テーマである 変量の変換 を暗記に頼らず理解する方法
を順番に解説していきます。
目次
- ① まずは土台、代表値を“判断できる”ようにする
- 代表値|平均
- 代表値|中央値
- 代表値|最頻値
- ② データの「散らばり」と「関係性」
- 分散
- 標準偏差
- 共分散
- 相関係数
- ③ 本題:変量の変換とは何か?
すべて表示
① まずは土台、代表値を“判断できる”ようにする
データを見たら、まずやることは一つ。
小さい順に並べる
これだけで、代表値は全部見えます。
例 )1, 2, 3, 4, 5, 5, 6, 6
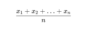
代表値|平均
平均は日常生活で使う方も多いと思いますが、
全てのデータの値を足した合計の値を、
データの個数で割ることで求めます。
公式で表すと以下のようになります。
n個のデータX1、X2、X3…Xnの平均Xは、
X =X₁ + X₂ + X₃ + … + Xₙn
と表します。
上記の例で言えば、
(1+2+3+4+5+5+6+6)÷8=4
となり、平均値は4になります。
代表値|中央値
中央値とは、データを値の小さい順に並べた際に中央、つまり真ん中にある値です。
データが奇数の場合は上記の定義のままですが、偶数の場合は中央に位置する2つの値の平均が
中央値となります。
この例では
4 と 5 の平均 → 4.5
代表値|最頻値
最頻値とは、
データの中で最も数の多い値のことです。
上記の例では5と6が最頻値となります。
📌 ポイント
意味+見つけ方までセットで覚える
② データの「散らばり」と「関係性」
ここからが入試頻出ゾーン。
単語が多く混乱する方もいると思いますが、
以下のことを意識しながら読むと良いです!
・どのデータが使われたか意識して公式を覚える
・その数値を出すことによって何がわかるのか、どんな良いことがあるのか理解する
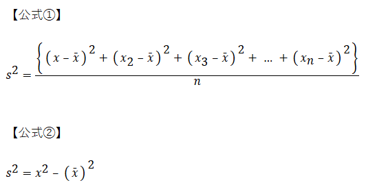
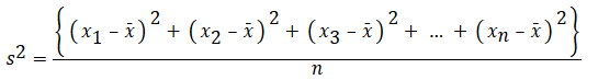
分散
「データがどれくらい散らばっているか」のこと
分散の公式は、2通りの求め方があります。
分散はs2と表し、データの総数をn、
それぞれのデータをX1、X2、X3…Xn
平均値をXと表した時、以下のようになります。

考え方はシンプルで、
- 各データと平均との差を見る
- それを2乗して平均する
つまり、
平均からどれだけズレてるかの平均
だから、
- 全部同じ値 → 分散0
- バラバラ → 分散大
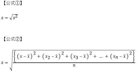
標準偏差
分散を“元の単位”に戻したもの
標準偏差の公式は、標準偏差をsと表すと以下の通りです。

📌 分散が分かれば標準偏差も即出ます。
共分散
ここからは 2つのデータ。
共分散sxyの公式は、以下の通りです。

共分散は、
x と y が一緒に増えるか?減るか?
を見る量。
- 正 → 正の相関っぽい
- 負 → 負の相関っぽい
※ 大きさそのものより「符号」が重要。
相関とは、散布図がどのような形のグラフなのかをおおよそ表すもので、右肩上がりの場合「正の相関」が、右肩下がりの場合「負の相関」が、点が点在し傾向がないものを「相関がない」と表します。
相関係数
相関係数rは2つのデータの相関の強さを表し、
「-1≦r≦1」の範囲で表されます。

- 1に近い → 強い正の相関
- −1に近い → 強い負の相関
③ 本題:変量の変換とは何か?
変量の変換とは、
データ x を、a倍する or bを足す
といった操作をすること。
入試ではほぼ確実にこう聞かれる👇
「変換後、平均・分散・標準偏差・共分散・相関係数はどうなるか?」
④ 変量の変換は「公式の中身」を見れば暗記不要
平均
平均は全てのデータの値を足した合計の値を、データの個数で割ることで求められる値です。
n個のデータ
x1+x2+x3+…+xn
の平均値は、

と表します。
- a倍 → 平均も a倍
- +b → 平均も +b
👉 全部のデータが同じだけ動くから。
例えば、1、2、3の平均は2ですが、それぞれを2倍した2、4、6では、平均が4に。
それぞれに3を足した4、5、6では平均が5になっていることがわかります。
分散
分散は

と表され、2つのデータの相関の強さを表します、
括弧の中は実際の値と平均の差です。
ここが超重要。
- +b
→ (x+b) − (平均+b)
→ 差は同じ
👉 分散は変わらない - a倍
→ 差が a倍 → 2乗される
👉 分散は a²倍
標準偏差
標準偏差は 分散で起こる変化の正の平方根が、
標準偏差で起こる変化になります。

- +b → 変化なし
- a倍 → √(a²) = |a|
👉 a倍(正ならそのまま)
共分散
x を a倍、y を c倍すると、
共分散の公式である

を基に考えたとき、

と表す事ができるため、ac倍されることになります。
👉 共分散は ac倍
※ +b や +d は差で消える。
相関係数(最重要)
相関係数の公式と、共分散sxyや標準偏差sx、syを比較すると、
変化後の相関係数は、

となり、整理すると、

になります。
ここから分かること👇
- ac > 0
→ 相関係数は 変わらない - ac < 0
→ 相関係数は 符号が逆になる(−1倍)
📌 大きさは変わらない、向きだけが変わる。
⑤ まとめ
変量の変換は暗記しない
👉 「平均との差を見る量か?」を考える
指標 +b a倍
平均 +b a倍
分散 変わらない a²倍
標準偏差 変わらない a倍
共分散 変わらない ac倍
相関係数 変わらない 符号のみ変化
正直この単元、
理解してる受験生はめちゃくちゃ少ない。
だからこそ、
分かるようになる
→ そのまま差がつく
ここ、マジで狙い目です🔥
コメント